Onlayn kitobni bepul oʻqing: ta muallif  Все науки. №7, 2024. Международный научный журнал

Все науки. №7, 2024

Международный научный журнал

Шрифты предоставлены компанией «ПараТайп»


Авторы: Алиев Ибратжон Хатамович, Абдурахмонов Султонали Мукарамович, Kholmatov Erkinjon, Juraev Nurmakhamad, Djalilov Mamatisa, Исломов D.D, Urishev Omadjon Musurmonqul o’g’li, Билолов Иномжон Уктамович, Баратов Миродилжон Хомуджонович, Хакимов Равшан Тулкунович, Акрамходжаев Тохтаходжаевич Бори, Akhatov Lutfillo Karamatilloyevich, Tangirov Irgash Xaqqulovich, Вавилова Екатерина Александровна, Назаров Насриддин Атакулович


Главний редактор Ибратжон Хатамович Алиев

Редактор Миродижон Хомуджонович Баратов

Иллюстратор Султонали Мукарамович Абдурахмонов

Иллюстратор Фарходжон Анваржонович Иброхимов

Дизайнер обложки Раънохон Мукарамовна Алиева

Дизайнер обложки Ибратжон Хатамович Алиев

И.О.Научного руководителя Султонали Мукарамович Абдурахмонов

Экономический руководитель Ботирали Рустамович Жалолов

Корректор Дилноза Орзикуловна Норбоева

Корректор Гулноза Мухтаровна Собирова





12+

Оглавление

ФИЗИКО-МАТЕМАТИЧЕСКИЕ НАУКИ

ВОЗДЕЙСТВИЕ КОСМИЧЕСКОГО ИЗЛУЧЕНИЯ ПОТОКОМ АЛЬФА-ЧАСТИЦ НА СОЛНЕЧНЫЕ ПАНЕЛИ НА ОСНОВЕ КРИСТАЛЛИЧЕСКОГО КРЕМНИЯ

UDK: 511.11

Алиев Ибратжон Хатамович1, Абдурахмонов Султонали Мукарамович2

1ElectronLaboratoryLLC, НИИ «ФРЯР», 151100, Республика Узбекистан, Ферганская обл., г. Маргилан

2Ферганский политехнический институт, 151100, Республика Узбекистан, Ферганская обл., г. Фергана

Аннотация. В работе осуществлён анализ бомбардировки пластины кристаллического кремния, используемого в качестве солнечных элементов для генерации электрической энергии посредством фотоэлектрического эффекта, пучком альфа-частиц космического излучения. Использованный пучок имеет низкий уровень монохромотичности, средний ток в 10 мкА и энергию близкую к резонансной, с крупной площадью бомбардировки. В ходе исследование констатировано действие облучения на действие солнечной батареи, изменение её эффективности, с вычислением выражений для последующей генерации электрической энергии.

Ключевые слова: модели анализа ядерной реакции, картеж ядерной реакции, солнечная панель, кристаллический кремний.

Введение. Современные технологии солнечных панелей получили широкое применение в различных областях современной промышленности, среди которых выделяется космическая индустрия, горно-исследовательская, авиационная и прочие. Каждый из указанных отраслей осуществляет свою деятельность на больших высотах, в высоких слоях атмосферы и за её пределами, благодаря чему наблюдается в указанных областях высокий уровень радиационной активности. Рассматривая каждый из областей уместно отметить, что в космическом пространстве источником излучения служат звёзды и их разновидности, квазары, блазары, пульсары, каждый из который является источником излучения в диапазоне от радиоволн, инфракрасного и видимого спектра до ультрафиолетового, рентгеновского излучения наряду с гамма-квантами.

В состав космического излучения наряду с указанными типами потоков относятся ионизирующие составляющие в лице тяжёлых быстрых частиц, в том числе электронов, позитронов, гамма-квантов с высокими энергиями, образующиеся в результате аннигиляции, протоны, дейтроны, тритоны и альфа-частицы [1—2; 4]. Каждый из указанных частиц бомбардируют пластины, находящиеся в безвоздушном космическом пространстве, но вместе с этим, отдельную опасность они представляют даже после контакта с атмосферой, поскольку благодаря наличию магнитного поля у планеты, они накапливаются, поддержанные электромагнитными векторами планеты, направляясь к полюсам, в зависимости от заряда, откуда в магнитной воронке действуют отдельный эффект, выводящий пучки частиц и космического излучения вновь в космическое пространство [3].

Описываемый эффект создаёт ионосферу и радиоактивную оболочку вокруг планеты, по мере приближения, к которому степень величины подверженности к описываемому явлению увеличивается. Аналогичные результаты наблюдаются для работ у полюсов планеты, где настоящий фактор становиться ещё более активным во время наличия полярного сияния — прихода потока солнечного и космического излучения с сильной ионизацией атмосферы, с образованием результирующего излучения. Исходя из всего представленного, можно сделать заключение о том, что рассматриваемый в том числе в масштабе бомбардировки альфа-частицами одной из самых часто применяемых разновидностей солнечных элементов является и делает настоящее исследование актуальным.

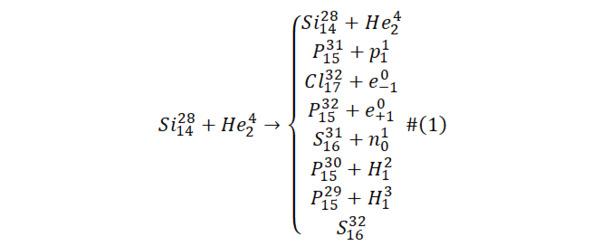
Исследование. Исследование осуществляется с учётом рассмотрения ситуации взаимодействия с атомами кристаллического кремния альфа-частиц, имеющиеся в составе космического излучения, как это показывает экспериментальное наблюдение [1]. В ходе исследования, использована модель анализа резонансных ядерных реакций Алиева [5—6]. Благодаря этому уместно указание направления излучения со степенью монохромотичности в 1 кэВ для малых энергий, током порядка 10 мкА, направляемые на всю площадь солнечной пластины. После направления описанного пучка альфа-частиц наступает стадия упругого взаимодействия, а после неупругого взаимодействия. В целом такое явление может быть описано картежом (1).

Согласно представленной модели, можно наглядно рассмотреть все возможности осуществляемого взаимодействия [5—9; 11]. Первая строка картежа представляет собой случай упругого взаимодействия, когда взаимодействия как такового не происходит и следующей возможной линией картежа является реакция с вылетом протона и образованием фосфора-31, затем электрона с хлором-32, затем позитрона с фосфором-32, после нейтрона с серой-31, затем дейтрона с фосфором-30, тритона с фосфором-29 и образованием единого ядра серы-32 посредством объединения.

В данном случае принимали бы участия ядра кремния-28 с массой 27,9769265350555 а. е. м., фосфора-31 с 30,9737619986777 а. е. м., хлора-32 с 31,9856846666 а. е. м., фосфора-32 с 31,97390764444 а. е. м., серы-31 с 30,979557012525 а. е. м., фосфора-30 с 29,97831349777 а. е. м., фосфора-29 с 28,981800444 а. е. м., серы-32 с 31,97207117441414 а. е. м. [9—11; 13—14]

1. Рассеяние Резерфорда

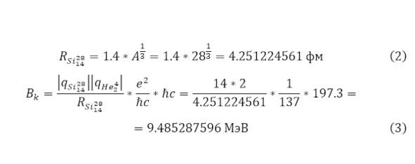
Начало анализа рассеяния Резерфорда осуществляется посредством определения радиуса ядра-мишени (2), с образующимся входящим кулоновским барьером (3).

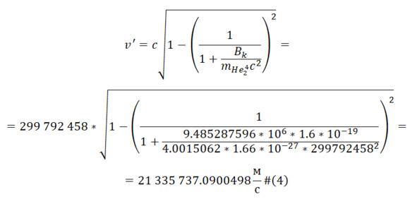
Исходя из определённых значений выходящего кулоновского барьера вычисляется значение для критической скорости (4), необходимая для преодоления налетающей альфа-частей для перехода в стадию неупругого рассеяния [12; 15—17], все частицы в пучке с энергией меньшей этой являются подверженными анализу посредством модели рассеяния Резерфорда — упругого рассеяния.

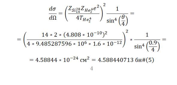
Модель Резерфорда предполагает действия на определённое процентное соотношение частиц в пучке. А также соответствующим образом представляется в качестве дифференциального сечения рассеяния (5) [16—17; 19] с учётом в 0,9 стерадиан эффективность детектирующего рассеяние датчика в камере бомбардировки при экспериментальном моделировании и с дальнейшим переходом в полный масштаб [18].

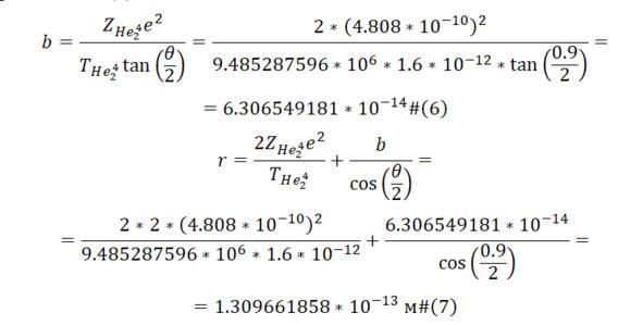
Перед преобразование полученного значения в процентное соотношение частиц по рассеянию Резерфорда, необходимо констатировать факт степени приближения альфа-частицы к ядру. Для этого вычисляется расстояние приближения (7), коего предварительно вычисляется константа приближения (6) в системе СГС.

Результат наглядным образом демонстрирует достаточно большую по сравнению с радиусом действия ядерных сил 10—15 м величину, благодаря чему наглядно демонстрируется момент действия рассеяния Резерфорда. Возвращаясь к задаче о переводе значения дифференциального сечения рассеяния в процентное соотношение, для этого определяется материал мишени — кристаллический кремний с известной плотностью, массой ядра, а следовательно, и плотностью ядер (8), толщиной (9) и процентным соотношением (10).

В результате, было определено, что из всего направленного пучка 0,345% будут подвержены упругому рассеянию. После констатации этого факта необходим переход к рассмотрению вариаций неупругого взаимодействия — прямого проведения каналов ядерной реакции.

1. Ядерная реакция

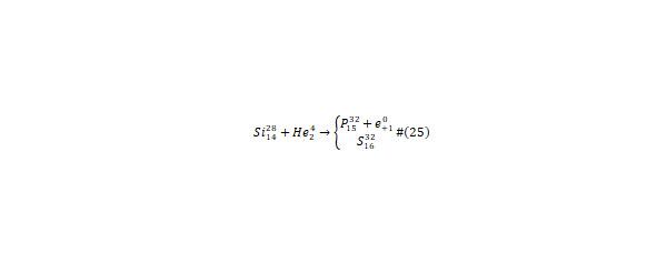
Каждый из каналов ядерной реакции имеет собственный выход и порог, обусловленные в первом случае разностью масс образовывающихся частиц, во втором — критической энергией, достигаемая в данном случае и необходимая для достижения. Так, выход первого канала вычислен в (11), второго в (13), третьего в (15), четвёртого в (17), пятого в (19), шестого в (21), седьмого в (22), порог первого канала вычислен в (12), второго в (14), третьего в (16), четвёртого в (18), пятого в (20), шестого в (22) и седьмого в (24).


Таким образом, на основе вычисленных значений выхода и порога ядерной реакции получается выражение промежуточного картежа (25).

В действительности, кроме рассеяния Резерфорда произойдёт только третий и седьмой канал в масштабе неупругих каналов. Однако, образовывающиеся ядра в данном случае, непосредственно фосфор-32, радиоактивен (26) и подвержен раёспаду

...